TAT.vorshen 【福利】乳摇动画初探
In Web开发 on 2015年08月23日 by view: 13,068
7

咳,以探索技术的精神进行一些猥琐的实现,先说明,如果你只想看最后乳摇的结果那就请 ctrl+F4 吧,因为网上有那些乳摇的 APP,制作出来绝对比我这个初探的方法好,我这个只是介绍我实现乳摇的过程思路与方法。

关于乳摇如何实现,我第一个想法是使用 metaball,因为是两个球嘛,然而发现根本就不行,Fail。最终使用的是液化算法去实现。

好了,下面是对液化算法的介绍。

如果你从来不使用 ps,暂时想不起来液化是什么不要紧,请看下图

这个是采用液化使一只静态的小狗有了动的感觉

总而言之,液化是使一张图片的部分进行平滑的有规律的变化,这个变化有扭曲的平移之感

是如何实现的呢,来看算法,先给一张图

局部变化以一个圈为变化环境,C 点是圆心,r 是半径,当 C 移动到 M 这个点时,U 移动到 X。

通过以上这句话我们得出了这样的结论:

液化的变化只在半径为 r 的圆内发生,距离圆心越近,变化越明显。这是不是和乳摇这一现象特别的吻合?

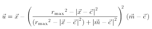
下面是算法公式

公式终于实现的是你知道 X 点的坐标,可以推算出 U 点的坐标,反之知道 U 点也可以推算出 X 的坐标

怎么推算出来的这个我也不知道,需要结合圆的范围,进行插值处理,但是具体如何得到这个结论,感兴趣的同学可以阅读

Andreas Gustafsson 的 Interactive Image Warping 一文,这个公式就是从这而来

 

好了,接下来该码程序了

乳摇首先你得有图

 

这里上来就有三张图,其中一张是完整的,还有两张分别是美女左右对半分开的【其实就是左胸和右胸】,因为需要这两张图进行乳摇【液化】后的还原。当然你也可以只用一张图,先取出还原的像素存起来也是可以的,我在这里偷懒了

 

 

上面是液化算法的函数,结合上面的图来看,参数分别是图片像素 data,圆心 C 的 x 轴和 y 轴,M 点的 x 轴和 y 轴,圆的半径 r

copyImageDataBuff 是将将要液化部分的像素 copy 一份,代码如下

 

 

eachCircleDot 是将每个圆内的像素取出来进行处理

 

distanceSqr 和 sqr 是求圆心距离和平方的函数,很简单

 

transFormula 这个方法就是液化公式的使用,传入的是 c 点的 x,y 值、m 点的 x,y;t 点就是上面图中的 x 点,return 出来 u 点的 x,y 值之后传入 moveDot,这个就是液化最终的表现函数

 

将公式算出的 u 点 rgba 信息换给之前的 t 点,也就是图中的 x 点,完成液化

最终给个结果图

因为只时间缘故(LPL 决赛呢)只设置了左胸的摇动触发,触发代码如下

 

这里面的数值都是自己测出来的,sX 和 sY 是摇动的频率,getImageData 的 xywh 四个值也是试出来的,意味着你想要胸变化的范围,注意:

这个范围必须要比液化公式中的圆大

iY 和 y 是根据点击在胸上方还是胸下方来确定摇动的方向

liquify 传入的参数已经介绍过了


这次的乳摇还是很初步的,只是优化了速度,最早还有一个版本非常的卡,demo 就不放出来了…… 一些幅度,方向都很简单,而且是写死的,如果你有兴趣可以更多的去优化和添加功能~

原创文章转载请注明:

转载自AlloyTeam:http://www.alloyteam.com/2015/08/fu-li-ru-yao-dong-hua-chu-tan/

  1. 邹成卓 2015 年 10 月 29 日

    …….
    这风格,原始本能驱动技术进步啊 [嘻嘻]

  2. 屈光宇 2015 年 8 月 31 日

    一年前写过一个类似:https://www.imququ.com/post/shake_photo_in_little_js.html?ua=linux 这里有一个生动一点的 Demo(NSFW):http://qgy18.imququ.com/bobo/edit3.html

  3. Shura 2015 年 8 月 25 日

    真污

  4. shenger 2015 年 8 月 25 日

    数学好就是好啊

  5. 穿越异次元 2015 年 8 月 24 日

    数学好,ps 好,js 好……

  6. 哈利路亚 2015 年 8 月 24 日

    让我们一起摇摆~一起摇摆~

  7. TAT.felix

    TAT.小赖 2015 年 8 月 23 日

    赞啊!

发表评论